agora.tips
|
Help
Result
30
of
579
Show
Objects
(427)
View as
List
Icons
Table
Map
References
All References
(2)
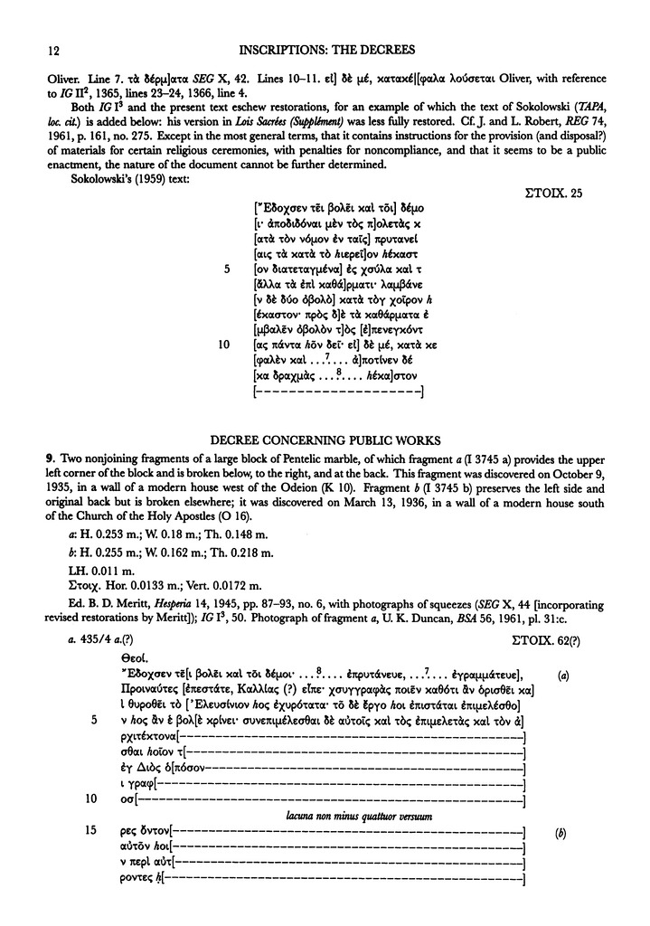
Publication: Agora XVI
Object: I 3745
Plot on
Map
Google Earth
Sign in
Provide feedback
Anything not working? Typos? Let us know.
Publication Page: Agora 16, s. 30, p. 12